Skip to content
  • Home
  • 2025 Tax Rate Information
  • District Information
    • About the District
    • Board of Directors
    • District Drought Management Plan
    • District Holidays
    • District Groundwater Management Plan
    • District Rules
    • Election Information
    • HHUA I & HHUA II
    • Staff
    • Tax Rates
  • District Programs
    • Abandoned Well Program
    • Downhole Video Camera
    • Geophysical Logging
    • Water Testing
  • Drought Status
    • Local Drought Index
    • Drought Information
  • Education & Information
    • Annual Rainfall
    • Rainwater Harvesting
    • Water Conservation
    • Water Well Information
    • Xeriscape
  • Forms
    • Registration Form (exempt well)
    • Permit Applications
    • Groundwater Usage Report
    • Landscape Groundwater Usage Report
  • Geology
    • Cretaceous Subcrop
    • Geologic Cross Sections
    • Stonewall High Geology
  • Groundwater Management Areas
    • GMA 7
      • Explanatory Reports
    • Region K
  • Hydrology
    • Continuous Water Level Monitoring Program
    • Daily Water Level Recorder Wells (TWDB)
    • Gillespie County Aquifers
    • Hydrographs
    • Monitoring programs
  • Links
    • Links
  • Meeting & Notices
    • Agenda
  • Well Information
    • Gillespie County Water Wells

Agenda

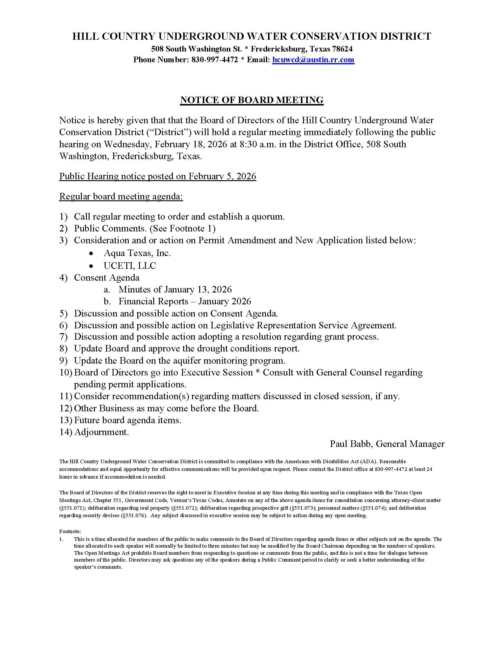
February 18, 2026 Board Meeting Agenda
February 18, 2026 Public Hearing Notice
January 13, 2026 Board Meeting Agenda/Notice

The Preserve * Permit Request
Firefly Partners * Permit Amendment Request
December 9, 2025 Agenda
December 16, 2025 – Permit Amendment Request Application: Firefly Partners LLC CANCELLED
November 4, 2025 regular agenda (revised)

Aqua TX 2 Ac/Ft Application Notice

November 4, 2025 public hearing notice
October 14, 2025 board meeting cancelled.
September 9, 2025 Agenda
September 4, 2025 Public Hearing & Special Board Meeting (well permit application)
August 19, 2025 Agenda
Kuhlken Farms * Permit Amendment * 2 acre feet
July 8, 2025 Board Meeting Agenda
StroneX Fund1 LLC- Permit Application * 0.459 acre feet annually
June 19, 2025 Board Meeting Agenda
Benjamin Suarez – Permit Application * 2 Acre Feet
May 13, 2025 Board Meeting Agenda
April 8, 2025  Regular Board Meeting Agenda
April 8, 2025 * Public Hearing on Permit Application
March 18, 2025 permit application notice
March 18, 2025 Regular Board Meeting Agenda 
February 11, 2025 Board Meeting Agenda

Share this:

  • Share on Facebook (Opens in new window) Facebook
  • Share on X (Opens in new window) X

CLICK BELOW FOR DIRECTIONS/MAP

508 South Washington St. * Fredericksburg, Tx 78624 Phone #830.997.4472 * Email:hcuwcd@austin.rr.com

Copyright © 2026 Powered by